吉林大学物理学院肖冠军教授在传统量子点表面态的高压调控研究取得进展
近日,吉林大学物理学院高压与超硬材料全国重点实验室肖冠军教授等人在传统CdS量子点表面缺陷态的压力调控研究中取得重要进展。研究团队通过选择结合力更强、配位位点更丰富的原子配体CdCl2,成功合成新型包覆结构的CdS量子点。高压处理进一步强化了量子点与配体之间的相互作用,有效修饰了其表面态,促使激子向量子点表面离域扩展。压力有效优化了CdS–CdCl2界面,促进激子离域与表面钝化效应,从而显著提升了发光性能。该研究为拓展量子点材料在光电子学领域的应用提供了新颖的设计思路与理论依据。相关研究成果以“Enhanced Excitons Delocalization Toward High-Quality Emission Harvesting Unlocked by Pressure and Ligand Engineering”为题发表在《Nano Letters》上。

固态照明技术凭借其极高的光电转换效率和长寿命等优势,成为推动绿色低碳照明发展的关键力量。当前,开发新型半导体材料是实现更高能源利用率、推进可持续发展的重要途径。在众多材料中,量子点因其高发光效率、低生产成本和广色域覆盖能力,正逐步取代传统LED,占据市场主流。由于尺寸微小,量子点具有高比表面积,导致其物理化学性质强烈依赖于表面态的调控。通常情况下,表面原子因配位不饱和而形成大量悬挂键,进而显著降低量子点器件的性能。压强作为一种独立于温度和组分的热力学参量,能够有效缩短原子间距、调控材料的电子结构,为物质科学研究提供了新的维度和手段。在前期研究中,邹勃教授团队肖冠军课题组通过对CdSe量子点施加压力,有效增强了配体对表面无辐射缺陷的钝化作用,使其荧光强度提升了一个数量级以上(J. Am. Chem. Soc. 2018, 140, 13970−13975)。2024年,该团队进一步利用不同类型配体对CdS进行表面钝化,在高压下实现了其本征发光与缺陷发光的选择性增强,并最终获得白光发射,也为通过高压研究指导常压合成,进而服务常压科学奠定基础(CCS Chem. 2025, 7, 160–169)。2025年,该课题组系统研究了高压下不同配体包覆量对CdS光学性能的影响,在同一材料与选择性配体复合体系中,分别实现了从橙光到白光以及从橙光到蓝紫光的两类压致变色调控(Laser Photonics Rev. 2025, 19, 2401971)。
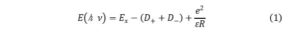
本工作通过压力处理工程,实现了CdS量子点表面态的优化并截获至常压。高压下,CdS量子点呈现从橙色到青色的压致变色行为。卸压后,其发光颜色可稳定保持在绿色,同时光致发光量子产率由18.1%提升至34.9%,色纯度由72.5%提高至81.3%。高压吸收光谱表明压力优化CdS–CdCl2界面,促进激子离域与表面钝化效应,从而显著提升了发光性能。进一步对高压下CdS表面缺陷态密度变化进行分析,量子点发射的光子能量可表述为:

研究结果证实高压有效钝化了表面缺陷。利用基于多体微扰理论的GW近似结合贝特-萨尔普特方程求解,验证了体系中激子效应的存在。为深入探究激子离域与荧光增强之间的关联机制,本研究系统考察了反I型CdS@CdSe量子点、准II型CdS@ZnS量子点以及更大粒径的CdS量子点三种体系在高压下的光学行为。对比实验结果明确表明,激子离域在光致发光增强过程中发挥了关键作用。简化的分子轨道计算进一步揭示,激子离域导致CdS量子点激子半径扩大,从而增强发光性能并引起吸收光谱红移。本研究提出了一种基于压力与配体工程协同作用的有效策略,为实现可控表面修饰,制备高质量半导体量子点提供了新思路,拓展了量子点材料在光电子学领域的应用前景。
吉林大学高压与超硬材料全国重点实验室博士研究生王峰为本文的第一作者,本文通讯作者为肖冠军教授。该工作得到了邹勃教授的悉心指导和大力支持,同时也得到了国家重点研发专项、国家自然科学基金创新研究群体和面上等项目的资助,以及上海光源同步辐射BL15U1线站的支持。


