北京大学在基于动态磁场的超冷分子散射通道选择方面取得进展
利用外场调控微观碰撞过程一直是分子动力学的重要目标,近年来随着光学控制和量子相干调控等领域的发展和进步,用外场改变分子散射过程受到广泛关注。理论和实验表明可以通过外加静态电场或磁场有效调节分子间的散射过程,然而人们对随时间变化的外场在不同反应通道中的影响仍然缺乏足够的认识。近年来的研究发现通过调制外部时变场可以抑制束缚态之间的跃迁,单频周期场可以调控超冷原子和分子间的相互作用。但是对含多频率复杂外场中的一般散射问题,由于分子散射通道的复杂性,目前还缺少有效的第一性理论方法来处理,这直接限制了时变外场在超冷分子碰撞中的应用。
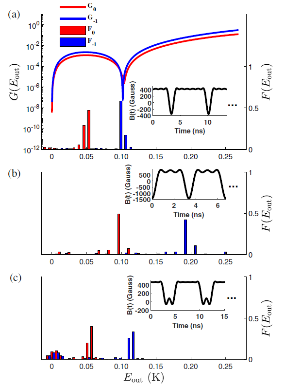
北京大学物理学院、人工微结构和介观物理国家重点实验室李铮助理教授课题组提出了基于选择性量子芝诺效应调节超冷分子散射的新方法(图1)。研究人员通过比较连续态中的量子芝诺效应和原子分子间非弹性碰撞本质上的共同点,提出外加磁场脉冲序列从而调控散射后不同通道的Floquet态及其分布,并可以根据对应的散射通道确定脉冲形式。数值上,我们将耦合通道方程结合多频Floquet理论进行计算,有效的刻画了碰撞复合物与磁场脉冲的相互作用。这一工作将量子芝诺效应引入超冷分子散射问题,为实现超冷分子动力学的外场调控和散射通道选择提供了一种有效的自由度。

李铮与大连理工大学王高仁副教授、南方科技大学徐海潭副教授等合作将量子芝诺效应应用于原子与分子的超冷碰撞动力学过程中(图2),针对氦与氧分子的不同散射通道设计了不同的脉冲磁场序列,利用量子芝诺效应实现了散射通道的选择性抑制,通过脉冲时变外场调控分子散射跃迁到不同量子态的几率。这一进展可以在包含超冷物理的许多领域产生重要推动作用,可应用于具有复杂时间结构的磁场、微波和激光场等对多通道量子过程的控制。

2022年6月28日,相关研究成果以“动态磁场中的超冷分子散射通道”(Channel Selection of Ultracold Atom-Molecule Scattering in Dynamic Magnetic Fields)为题,在线发表于《物理评论快报》(Physical Review Letters),北京大学物理学院2020级博士研究生杨涵崴、2019级本科生李尊祺为共同第一作者,王高仁、徐海潭、李铮为共同通讯作者。


 
 
 
 
 
 
 
 
 
 



 
 
 
 
 
 
 
 
 
 
 
 
 
 
 
 
 
 
 
 
 
 
 
 
