复旦大学邵鼎煜课题组与合作者提出利用零喷注度实现质子三维结构重建
复旦大学物理学系邵鼎煜课题组与合作者在量子色动力学前沿取得重要进展,提出利用零喷注度(zero-jettiness)实现质子三维结构重建,检验西弗斯(Sivers)函数符号翻转,相关成果于2026年1月14日发表于《Physical Review Letters》。
理解质子、中子等核子的内部三维结构,是强相互作用与非微扰量子色动力学研究的核心前沿。这需要精密描绘其内部夸克、胶子的三维动量分布,即横动量依赖部分子分布函数。然而,在高能对撞实验中提取这些本质信息极具挑战:如同在剧烈风暴中聆听微弱耳语,初态辐射产生的“噪声”(微扰贡献)会严重干扰甚至淹没源自非微扰动力学的关键信号。

面对这一难题,研究团队提出了一项创新的理论方案。其核心在于引入并利用“零喷注度”这一形状变量作为精密的“噪声抑制器”。通过对该变量设定上限,能够有效抑制中心快度区域产生初态辐射,从而凸显出与质子自旋结构相关的相干量子信息。
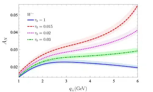
研究团队在联合重求和理论框架下,构建了能够同时处理横动量与零喷注度双重对数效应的完整方案,并首次将其成功应用于极化相关的物理过程。他们将此方法应用于美国相对论重离子对撞机(RHIC)上W及Z玻色子的产生过程,专注于理论预言的关键探针——横向单自旋不对称性(SSA)。计算结果表明在横动量为5 GeV的区域,该方法使得W-玻色子产率的自旋不对称性信号显著增强了约115%。即使考虑实验统计误差,该方案带来的净灵敏度增益依然非常显著。这一结果意味着,原本被强辐射背景掩盖的微弱信号被成功“放大”,使得探测效率获得提升

这项工作为在复杂对撞环境中,清晰地检验西弗斯函数符号改变这一量子色动力学重要现象,提供了切实可行的理论工具。该预言是强相互作用非阿贝尔拓扑特性的直接体现,被类比为高能物理中的“阿哈罗诺夫-玻姆效应”。此前,对其的检验犹如“在飓风中聆听耳语”,而今新方案提供了一副高保真的“透镜”。此外,该理论方案可自然推广至未来电子-离子对撞机的深度非弹性散射过程,以及大型强子对撞机的研究中,为全面开启核子三维结构的精密测量时代奠定了理论基础。
该工作由复旦大学与山东大学合作完成。按照高能物理学界的惯例,论文依姓氏英文字母顺序署名,分别为复旦大学物理学系研究生方申、山东大学博士后林硕、复旦大学邵鼎煜青年研究员、山东大学周剑教授。研究工作得到了国家自然科学基金、科技创新2030- “量子通信与量子计算机”国家科技重大专项、理论物理专款上海核物理理论研究中心、核物理与离子束应用实验室教育部重点实验室、复旦大学粒子物理与场论中心的支持。


