北京大学量子材料科学中心陈剑豪课题组发现几何阻挫磁性绝缘体中的长距离自旋输运
北京大学物理学院量子材料科学中心、纳米器件物理与化学教育部重点实验室、北京量子信息科学研究院陈剑豪课题组与谢心澄院士等合作,首次在几何阻挫磁性绝缘体中观测到了自旋关联诱导的长距离自旋输运。2026年1月7日,相关研究成果以《超笼目阻挫磁体Gd3Ga5O12中的长距离自旋输运》(“Long-distance spin transport in frustrated hyperkagome magnet Gd3Ga5O12”)为题在线发表于《自然·通讯》(Nature Communications)上。
利用极化的电流传输信息是自旋电子学技术的核心,而电流不可避免地会带来焦耳热。为降低热损耗,研究发现铁磁和反铁磁绝缘体中的磁振子可以有效承载自旋流,开辟了基于磁振子的自旋电子学新领域——磁振子学(magnonics)。阻挫磁体因存在本征的自旋涨落,在很低温度下也不能形成磁有序,因此没有良好定义的磁振子,其中是否可以承载自旋流还未被研究。
Gd3Ga5O12(GGG)具有超笼目(hyperkogome)结构,是一种几何阻挫的磁性绝缘体。GGG在室温下表现为顺磁绝缘体,常被用做生长钇铁氧石榴石(YIG)薄膜的衬底;而在低温下表现出复杂的磁相,已报道的包括自旋玻璃、自旋液体和十自旋环指向态的“隐藏序”(图1b)。其中十自旋环指向态(ten-spin director)不破坏任何晶体结构或时间反演对称性,在较低磁场和温度下仍存在自旋-自旋关联。

图1(a)磁有序体系中的自旋波示意图和磁阻挫体系中的自旋涨落示意图(b)GGG中由Gd3+的十自旋环形成的长程指向态示意图。橙色双头箭头表示与自旋环平面垂直的指向矢,较小的灰色箭头表示局域磁矩(c)仅显示了Gd原子的GGG晶体结构,两套子格子分别用灰色和粉色表示(d)非局域自旋输运测量器件示意图。在GGG衬底上沉积两根Pt电极,一根通过热激发注入自旋流,另一根通过逆自旋霍尔效应检测自旋信号
近日,陈剑豪团队与谢心澄、近藤龙一(Ryuichi Shindo)研究员,复旦大学肖江教授,浙江大学汪臻涛教授等合作,通过制备GGG/Pt异质结器件,研究了GGG中的热激发非局域自旋输运性质。研究发现,除了正常的自旋输运信号(类似于磁有序系统中的磁振子输运信号)外,在温度5K和磁场9T以下会出现反常的自旋信号(图2ab)。该反常态的信号与正常态相反,并且有一个延迟相位;反常态中的自旋输运可达480um,比正常态下的自旋输运距离高出两个数量级(图2cd)。宏观上,反常态的响应可以用过阻尼受迫振子模型描述;微观上,蒙特卡罗模拟表明在反常态下存在显著的自旋涨落、自旋-自旋关联,而没有常规的磁振子(图3)。此研究通过一种有效的电学方法来表征阻挫磁性绝缘体,并揭示了阻挫磁性绝缘体作为自旋输运通道材料的潜力。

图2(a)V2ωX的B-T相图(b)V2ωY的B-T相图。红色区域为正常态,只有正的V2ωY信号;蓝色区域为反常态,具有负的V2ωY信号和非零的V2ωX信号(c)自旋输运信号随传输距离变化图,反常态的GGG具有比其正常态以及反铁磁二维材料MnPS3高出两个数量级的传输距离(d)GGG中自旋输运距离与文献中报道的热激发磁振子最大输运距离比较

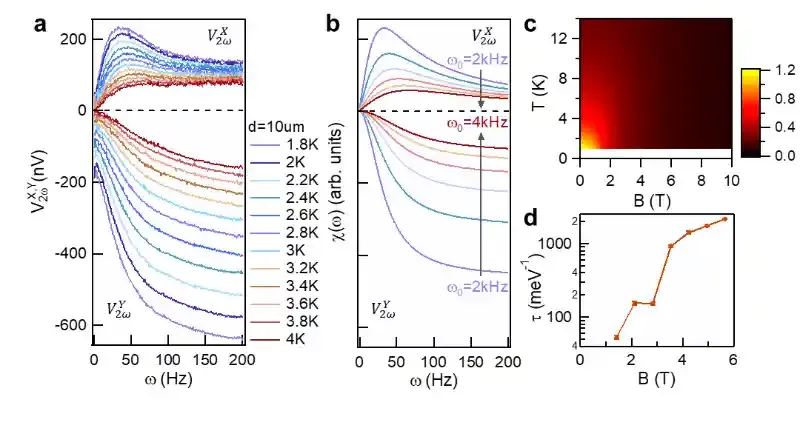
图3(a)不同温度下2ωX和2ωY随激发频率的变化图(b)过阻尼受迫振子响应的实部和虚部的理论模拟(c)蒙特卡罗计算磁化率的B-T相图(d)2K温度下蒙特卡罗模拟磁振子寿命随磁场的变化
北京量子信息科学研究院助理研究员陈迪为研究成果的第一作者,汪臻涛、肖江和陈剑豪为通讯作者。此项工作得到了国家重点研发计划“物态调控”重点专项、国家自然科学基金、中国科学院战略性先导科技专项等项目的支持。


