北京大学物理学院在强量子光场下氢原子光电离研究中取得新进展
北京大学物理学院现代光学研究所、人工微结构和介观物理国家重点实验室、纳光电子前沿科学中心“极端光学创新研究团队”刘运全教授、何琼毅教授等人发展了一套基于广义Glauber P表象量子光学修正的强场近似理论(quantum optical-corrected strong-field approximation, QOSFA)。利用QOSFA模型,研究团队模拟了强压缩态光场与电离氢原子相互作用过程,揭示了其特有的光电子干涉行为。相关研究成果以“强量子光场下氢原子光电离”(Strong-Field Ionization of Hydrogen Atoms with Quantum Light)为题发表在《物理评论快报》(Physical Review Letters)上。
2023年诺贝尔物理学奖表彰了Pierre Agostini、Ferenc Krausz、Anne L’Huillier三位科学家在阿秒光脉冲的实验产生和测量方面的贡献,这极大促进了阿秒光脉冲在物质超快电子动力学研究中的应用。强场电离作为阿秒脉冲产生中的重要物理过程,在阿秒电子谱学、分子轨道成像、量子态的调控等应用中具有重要科学意义。在强激光驱动下原子的强场电离研究中,通过对光电子和高次谐波进行探测,人们发现了丰富的光子和电子干涉等量子效应。然而,在之前绝大多数关于强激光场的光电离和高次谐波产生的理论和实验研究中,人们通常把激光场视为经典光场,忽略了光场的量子性质对强激光与原子相互作用过程的影响。建立全量子光与原子相互作用的理论依旧是个开放问题。
在量子光学中,相干态和压缩态是两个满足最小不确定性条件的量子光场。相干态通常被认为是最接近经典描述的量子态,压缩态则是典型的非经典态,它们被广泛应用在量子计量和量子信息等领域。随着强量子光源产生技术的不断发展,现有压缩态光场的峰值电场强度已达到2×1011W/cm2,使得量子光学和强场物理的交叉逐渐成为可能。
刘运全课题组和何琼毅课题组合作发展了一套基于广义Glauber P表象量子光学修正的强场近似理论(quantum optical-corrected strong-field approximation, QOSFA)。利用QOSFA模型,团队分别计算了强相干态和压缩态光场下氢原子电离的光电子动量分布。在强经典光场(相干态)下,光电子动量谱会呈现激光周期间干涉环(能量上表现为阈上电离光电子峰),如图1(a)。而当氢原子被强压缩光电离时,光电子动量谱的阈上电离峰消失,并且只能观察到激光周期内形成的电子干涉结构[图1(b)]。

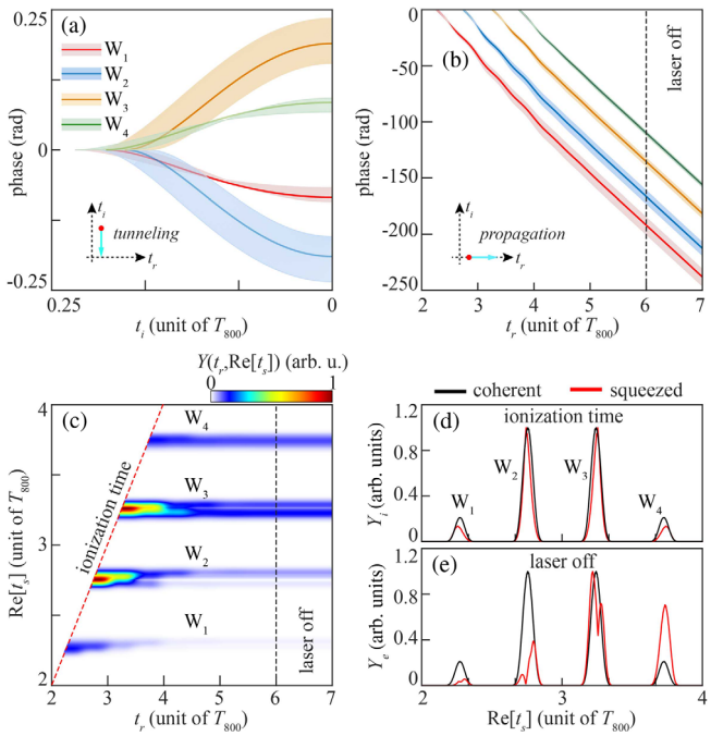
通过鞍点近似方法,研究团队发现压缩态光场的量子涨落导致隧穿电子波包的相位随着光场演化存在不确定度[图2(a)和图2(b)],它进一步影响着不同时刻出射电子的相干性,并且调制了它们之间的干涉结构。研究团队还发现光电子积累的相位不确定度会导致电离率随着光电子在激光场中的运动而降低。如图2(c)所示,在一个激光脉冲包络内,较早电离的电子波包(图2(c)中的W1),其电离率的衰减程度明显大于更晚电离的电子波包(图2(c)中的W4)。这是因为较晚电离的电子波包在压缩光场中积累的相位不确定度小。因此末态的电子电离率受到了不同程度的调制[图2(e)]。最终,光电子动量分布体现为较晚电离的电子波包W3和电子波包W4的周期内干涉。

北京大学物理学院2022届博士毕业生方一奇(现为德国洪堡学者)、北京大学副研究员孙风潇为论文第一作者,刘运全和何琼毅为该论文共同通讯作者。研究工作得到了国家自然科学基金委、科技部、人工微结构和介观物理国家重点实验室、量子物质科学协同创新中心和极端光学协同创新中心等的支持。




